مراجعة رياضة للصف الثالث الإعدادي الترم الأول 2026 pdf
مراجعة رياضة للصف الثالث الإعدادي الترم الأول 2026
تعتبر مراجعة رياضة للصف الثالث الإعدادي الترم الأول 2026 pdf أداة أساسية لمساعدة الطلاب على المراجعة السريعة والفهم العميق لمادة الرياضيات قبل الامتحانات، حيث تشمل المراجعة على أهم الدروس والقوانين والمهارات المطلوبة في المنهج، مع تبسيط الشروحات وتوفير أمثلة متنوعة، مما يسهل على الطالب استذكار المفاهيم وحل المسائل بثقة وكفاءة.
امتحانات نصف العام للشهادة الإعدادية 2026
من المقرر أن تبدأ امتحانات الفصل الدراسي الأول للعام 2025–2026 للشهادة الإعدادية يوم 17 يناير 2026، وفقًا للخطة الزمنية الرسمية لوزارة التربية والتعليم، على أن تستمر الامتحانات لمدة أسبوع وتنتهي يوم 22 يناير المقبل.
مراجعة رياضة للصف الثالث الإعدادي الترم الأول 2026
تمثل مراجعة رياضة للصف الثالث الإعدادي الترم الأول 2026 أداة أساسية لمساعدة الطلاب على استذكار أهم الدروس والقوانين الرياضية المقررة في المنهج، مع تبسيط الشروحات لتسهيل الفهم.
كما تشمل المراجعة جميع المهارات اللازمة لحل المسائل بمختلف أنواعها، مثل الجبر والهندسة والإحصاء، مع تقديم أمثلة تطبيقية وتمارين نموذجية تساعد الطالب على التدرب والاستعداد الجيد للامتحانات، مما يعزز الثقة والقدرة على الإجابة الصحيحة تحت ضغط الوقت.
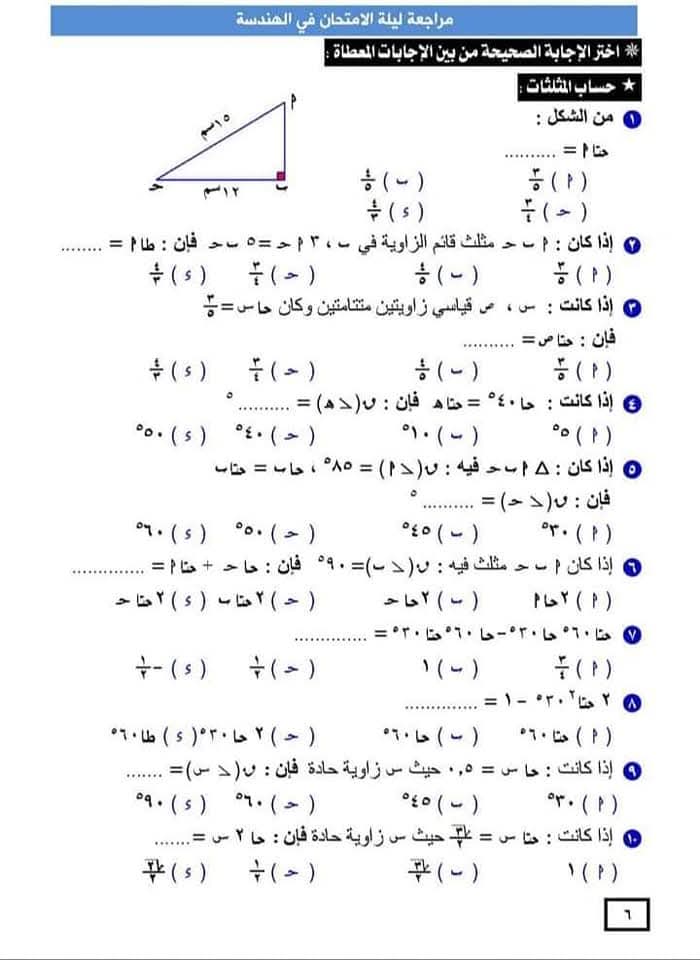
ونستعرض مراجعة رياضيات للشهادة الإعدادية الترم الأول 2026 خلال الصور التالية:










مراجعة رياضة للصف الثالث الإعدادي الترم الأول 2026 pdf
يستطيع طلاب الصف الثالث الإعدادي تنزيل مراجعة رياضة الترم الأول 2026 بصيغة pdf، من خلال الدخول على رابط التحميل المُباشر بالضغط هنـــــــــــــا، وذلك لتسهيل المذاكرة في أي وقت ومن أي مكان مع إمكانية الطباعة أو المراجعة على الأجهزة الرقمية، مما يوفر لهم طريقة عملية ومرنة للاستعداد للامتحانات بثقة وكفاءة.
اقرأ أيضًا:
نماذج امتحان دين للصف الثالث الإعدادي، أهم الأسئلة
النماذج الاسترشادية للصف الثالث الإعدادي 2026 جميع المواد
مراجعة دين للصف الثالث الإعدادي الترم الأول 2026، شاملة ومختصرة لجميع دروس المنهج
الأكثر قراءة
-
علشان "لقمة عيش" حلال.. حكايات "تبكي الحجر" لضحايا حريق مخزن الزاوية الحمراء (خاص)
-
الدولار يواصل الهبوط.. الأخضر دون الـ52 جنيهًا بداية تعاملات الأربعاء
-
سكن لكل المصريين 9.. صندوق الإسكان يكشف حقيقة الطرح والتفاصيل
-
وزير المالية: التسهيلات الضريبية أدت لأداء قوى في الإيرادات
-
ليس كل الأطفال أبرياء.. "سالب 18"وثائقي يتناول جرائم القُصّر تحت راية القانون
-
كيف نجحت مصر في خفض الدين الخارجي رغم أزمات الأسواق الناشئة؟.. وزير المالية يجيب
-
ارتفاع أسعار الفضة في مصر اليوم.. الأونصة تقترب من 4 آلاف جنيه
-
شهادات ادخار بنكي الأهلي ومصر 2026.. تفاصيل أعلى فائدة
أخبار ذات صلة
رابط تحميل النماذج الاسترشادية للصف الثالث الثانوي 2026
16 أبريل 2026 10:30 ص
مراجعة علوم الصف الأول الإعدادي الترم الثاني 2026، أهم الاسئلة
16 أبريل 2026 09:51 ص
حالة الطقس اليوم الخميس 16 أبريل 2026 في مصر.. ارتفاع في درجات الحرارة
16 أبريل 2026 07:00 ص
تعبير عن الأنشطة المدرسية 2026 بالعناصر
15 أبريل 2026 11:45 م
آخر موعد للعمرة 2026 للمقيمين، قرارات تنظيمية جديدة قبل موسم الحج
15 أبريل 2026 11:22 م
رابط وخطوات تحميل كتاب اللغة العربية للصف الرابع الابتدائي الترم الثاني 2026
15 أبريل 2026 10:58 م
كم يوم باقي على عيد الأضحى 2026؟ العد التنازلي وموعد الإجازة في مصر
15 أبريل 2026 10:01 م
مراجعة علوم أولى إعدادي ترم ثاني PDF 2026
15 أبريل 2026 09:21 م
أكثر الكلمات انتشاراً