شرح درس السريان للصف الثاني الثانوي الترم الأول، أهم الأسئلة
طلاب
يهتم كثير من الطلاب بمادة الفيزياء بشكل خاص، وذلك لأنها تعد من المواد الصعبة لبعض الطلاب، ما يدفع الطلاب الاهتمام بشكل خاص بدروس الفيزياء ومن بينها شرح درس السريان للصف الثاني الثانوي الترم الأول.
منهج الفيزياء للصف الثاني الثانوي
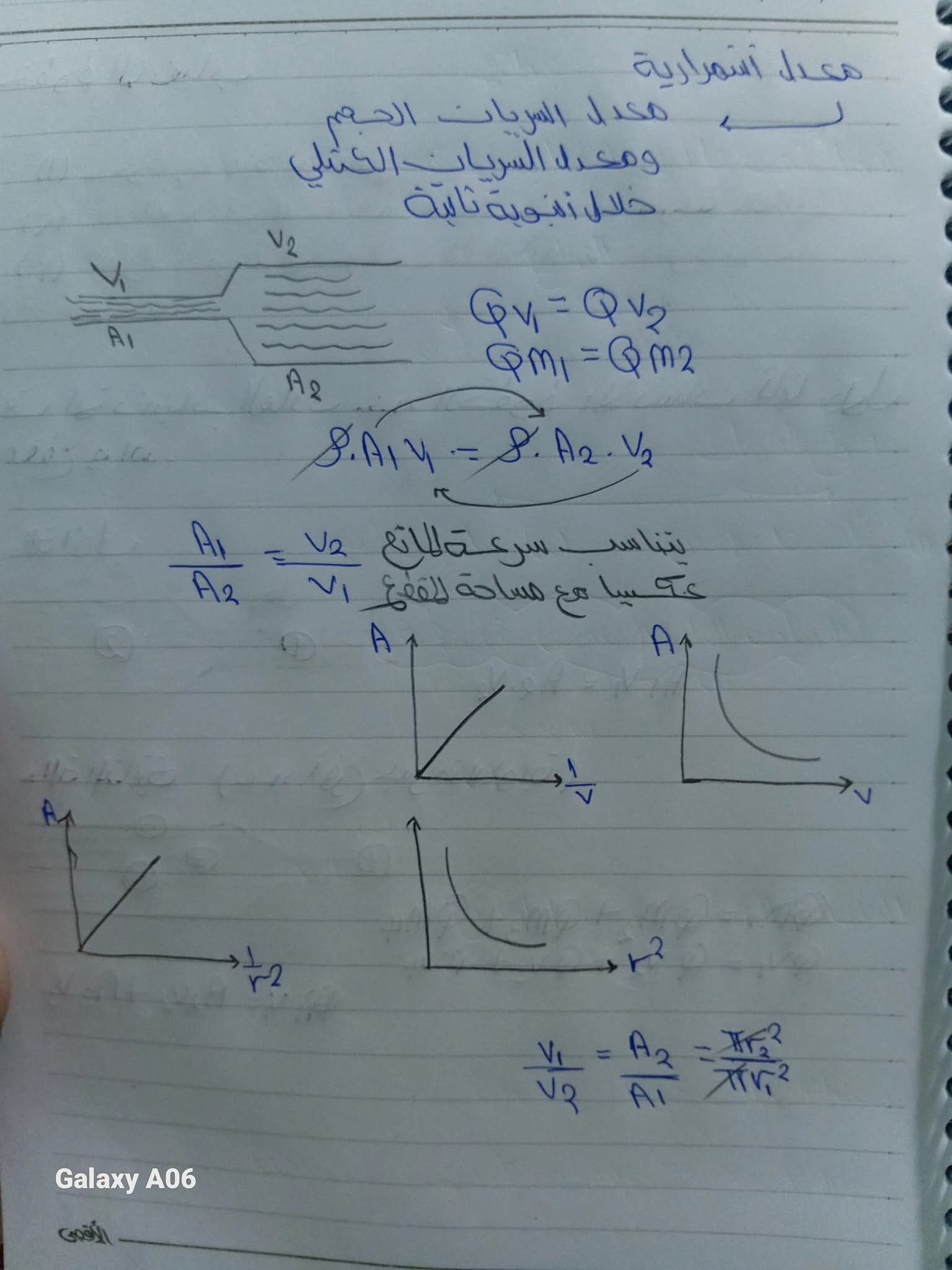
ويعد درس السريان أو درس خواص الموائع المتحركة إحدى دروس الوحدة الثالثة في مادة الفيزياء للصف الثاني الثانوي، حيث يتضمن الدرس عدة تعريفات ومصطلحات وكذلك أسئلة تدريبية.
ويتكون منهج مادة الفيزياء للصف الثاني الثانوي الفصل الدراسي الأول من 4 وحدات دراسية يتكون كلًا منها من عدة دروس وفصول تشرح المنهج المعتمد من قبل وزارة التربية والتعليم والتعليم الفني.
شرح درس السريان للصف الثاني الثانوي
وجاء شرح درس السريان للصف الثاني الثانوي كالتالي:











أسئلة درس السريان للصف الثاني الثانوي الترم الأول
ويستطيع طلاب الصف الثاني الثانوي الاطلاع على الأسئلة التالية للتدرب على درس السريان للصف الثاني الثانوي:

رابط تحميل شرح درس السريان للصف الثاني الثانوي
ويستطيع طلاب المرحلة الثانوية الاستماع والاطلاع إلى شرح درس السريان للصف الثاني الثانوي من خلال الضغط هنـــــــا.
اقرأ أيضا:
الأكثر قراءة
-
"كنا بنتناوب الحراسة"، متهم بواقعة مدرسة سيدز يكشف تفاصيل غرفة الظلام (انفراد)
-
موعد الإعلان عن زيادة المرتبات 2026.. هل تصل إلى 9 آلاف جنيه؟
-
حقوق الإنسان.. وزارة سقطت سهوًا من التشكيل الجديد!
-
"فقدت ضهري وسندي"، ريم مصطفى تعلن وفاة والدتها
-
بإجمالي 8 مليارات جنيه، موعد صرف المنحة الإضافية على بطاقات التموين
-
"الشعب يريد ميراث فايزة"، جولة تليجراف مصر تكشف فوضى أسعار الياميش قبل رمضان
-
افطر فورا في هذه الحالة.. "الصحة" توجه إرشادات لصيام آمن في رمضان
-
أسماء وسير المحافظين الجدد في الحركة الجديدة 2026.. تفاصيل كاملة
أخبار ذات صلة
حل كتاب التقييمات للصف الثاني الإعدادي علوم الترم الثاني 2026
16 فبراير 2026 09:49 م
“إيه أحلى حاجة حصلت للفلوس"؟ حملة غامضة تثير التكهنات في شوارع القاهرة
16 فبراير 2026 09:22 م
حل كتاب التقييمات للصف السادس الابتدائي دراسات الترم الثاني
16 فبراير 2026 09:06 م
شرح درس أحب مصر للصف الأول الابتدائي الترم الثاني 2026
16 فبراير 2026 08:35 م
شرح درس الحال للصف السادس الابتدائي نحو الترم الثاني
16 فبراير 2026 07:27 م
حل كتاب التقييمات للصف الأول الإعدادي علوم الترم الثاني 2026
16 فبراير 2026 07:16 م
تحميل التقييم الأسبوعي للصف الثاني الإعدادي إنجليزي 2026 pdf
16 فبراير 2026 06:18 م
رسميًا.. مواعيد غلق وفتح المحال التجارية والمولات في رمضان 2026
16 فبراير 2026 06:15 م
أكثر الكلمات انتشاراً